移流項
は熱力学の式の場合と同様に 4 次中央差
分, その他の項は 2 次中央差分で離散化する. 摩擦項
,
の時間積分に対し
ては常に前進差分を用いる.
,
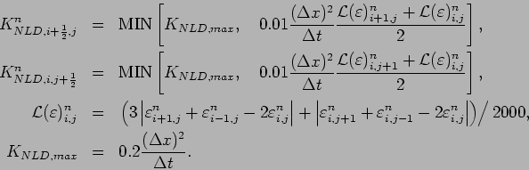
の表現はそれぞれ(
), (24)式と同様なので, ここでは省略する.
![]() |
(41) |

![]() |
(43) | ||
![]() |
|||
![]() |
|||
![]() |
(44) |
地表からの運動量と熱のフラックスは以下のように離散化して計算する.
| (45) | |||
| (46) |
ここで,
![]() |
(47) |
である. バルクリチャードソン数は以下のように評価する.
![]() |
(48) |