next up previous
: C. 雲微物理過程 : 湿潤大気における 2 次元非静力学モデルの定式化 : A. 準圧縮方程式系の導出


B. 乱流パラメタリゼーション

B.1 乱流パラメタリゼーション

Klemp and Wilhelmson (1978) および CReSS で用いられている 1.5 次のクロー ジャーを用いる. このとき乱流運動エネルギーの時間発展方程式は,

$\displaystyle \DD{E}{t}$ $\textstyle =$ $\displaystyle B + S + D_{E}
- \left(\frac{C_{\varepsilon}}{l}\right)
E^{\frac{3}{2}}$ (B.1)

と与えられる. $l$ は混合距離で, $l = \left(\Delta x \Delta z \right)^{1/2}$ とする. $B$$S$ はそれぞれ浮力と流れの変形速度によ る乱流エネルギー生成項, $D_{E}$ は乱流エネルギー拡散項, 第 4 項は乱流 エネルギーの消散項であり,
$\displaystyle B$ $\textstyle =$ $\displaystyle \frac{g_{j}}{\overline{\theta}}
\overline{u^{\prime}_{j} \theta^{\prime}} ,$ (B.2)
$\displaystyle S$ $\textstyle =$ $\displaystyle - \overline{(u_{i}^{\prime} u_{j}^{\prime})}
\DP{u_{i}}{x_{j}} ,$ (B.3)
$\displaystyle D_{E}$ $\textstyle =$ $\displaystyle \DP{}{x_{j}} \left(K_{m} \DP{E}{x_{j}} \right)$ (B.4)

である. 1.5 次のクロージャーでは, レイノルズ応力を以下のように定義する.
$\displaystyle \overline{(u_{i}^{\prime} u_{j}^{\prime})}$ $\textstyle =$ $\displaystyle - K_{m} \left(\DP{u_{i}}{x_{j}}
+ \DP{u_{j}}{x_{i}}\right)
+ \frac{2}{3} \delta_{ij} E,$ (B.5)
$\displaystyle \overline{u_{j}^{\prime} \theta }$ $\textstyle =$ $\displaystyle - K_{h}\DP{\theta}{x_{j}}.$ (B.6)

ここで $K_{m}$ は運動量に対する渦粘性係数であり, $E$ はサブグリッドス ケールの乱流運動エネルギー, $K_{h}$ は渦拡散係数である. $K_{m}$, $K_{h}$$E$ を用いて以下のように与えられる.
$\displaystyle K_{m}$ $\textstyle =$ $\displaystyle C_{m} E^{\frac{1}{2}} l,$ (B.7)
$\displaystyle K_{h}$ $\textstyle =$ $\displaystyle 3 K_{m}.$ (B.8)

パラメータ $C_{\varepsilon}, C_{m}$ はともに 0.2 である. a

B.1.1 乱流運動エネルギー方程式の導出

Klemp and Wilhelmson (1978) では(B.1)について, 「Deardroff (1975), Mellor and Yamada (1974), Schemm and Lipps (1976) で用いられ ている式と類似のものである」とだけ記述され, その導出の詳細については解 説されていない. それゆえ大気大循環モデルでよく用いられている Mellor and Yamada (1974, 1982) のパラメタリゼーションとの対応が不明瞭であ る. そこで以下では Mellor and Yamada (1973, 1974) の定式化の手順に沿っ て式(B.1), (B.5), ([*]) の導出を行う.

考えているサブグリッドスケール内において, 密度は一定, 動粘性係数や拡散 係数などの物理定数は一定とする. 出発点となる方程式は, Mellor and Yamada (1973) の式 (7) および (8)

$\displaystyle \DP{\overline{u^{\prime}_{i}u^{\prime}_{j}}}{t}$ $\textstyle +$ $\displaystyle \DP{}{x_{k}}\left[
u_{k}\overline{u^{\prime}_{i}u^{\prime}_{j}}
+...
...^{\prime}_{j}}
- \nu \DP{}{x_{k}}\overline{u^{\prime}_{i}u^{\prime}_{j}}\right]$  
  $\textstyle +$ $\displaystyle \DP{}{x_{j}}\overline{pu^{\prime}_{i}}
+ \DP{}{x_{i}}\overline{pu...
...me}u^{\prime}_{i}}
+ \varepsilon _{ikl}\overline{u_{l}^{\prime}u^{\prime}_{j}})$  
  $\textstyle =$ $\displaystyle -\overline{u^{\prime}_{k}u^{\prime}_{i}}\DP{u_{j}}{x_{k}}
-\overl...
...(g_{j}\overline{u^{\prime}_{i}\theta }
+ g_{i}\overline{u^{\prime}_{j}\theta })$  
  $\textstyle +$ $\displaystyle \overline{p\left(\DP{u^{\prime}_{i}}{x_{j}}
+ \DP{u^{\prime}_{j}}...
...right)}
- 2\nu \overline{\DP{u^{\prime}_{i}}{x_{k}}\DP{u^{\prime}_{j}}{x_{k}}},$ (B.9)


$\displaystyle \DP{\overline{u^{\prime}_{j}\theta^{\prime}}}{t}$ $\textstyle +$ $\displaystyle \DP{}{x_{k}}\left[
u_{k}\overline{\theta^{\prime} u^{\prime}_{j}}...
...a^{\prime} }
+ \varepsilon _{jkl}f_{k}\overline{u^{\prime}_{l}\theta^{\prime} }$  
  $\textstyle =$ $\displaystyle -\overline{u^{\prime}_{j}u^{\prime}_{k}}\DP{\theta }{x_{k}}
-\ove...
...lpha + \nu )
\overline{\DP{u^{\prime}_{j}}{x_{k}}\DP{\theta^{\prime} }{x_{k}}}.$ (B.10)

および, (B.9)において $i=j$ とした式
$\displaystyle \DP{q^{2}}{t} + u_{k}\DP{q^{2}}{x_{k}}
+ \DP{}{x_{k}}\left(\overline{u^{\prime}_{k}u^{\prime}_{j}u^{\prime}_{j}}
- \nu \DP{q^{2}}{x_{k}}\right)$ $\textstyle =$ $\displaystyle - \overline{u^{\prime}_{j}u^{\prime}_{k}}\DP{u_{j}}{x_{k}}
- \DP{}{x_{k}}\overline{pu^{\prime}_{j}}$  
    $\displaystyle + g_{j}\beta\overline{u^{\prime}_{j}\theta^{\prime}}
- 2\nu \overline{\left(\DP{u^{\prime}_{j}}{x_{k}}\right)}$ (B.11)

ここで

\begin{eqnarray*}
q &\equiv& \sqrt{\overline{(u^{\prime}_{i})^{2}}} \\
& = & \sqrt{2E}
\end{eqnarray*}

で, $\nu, \alpha, \beta$ はそれぞれ動粘性係数, 拡散係数および熱膨 張率, $g_{j}$ は重力加速度ベクトルの第 $j$ 成分である.

(B.9)および(B.10)に現れる圧力に関する相関項 および 3 次の相関量については以下の仮定をおく.

  1. $\overline{p\left(\DP{u^{\prime}_{i}}{x_{j}} + \DP{u^{\prime}_{i}}{x_{j}}\right)}$ (圧力による運動エネルギーの再分配)


    \begin{displaymath}
= - \frac{q}{3l_{1}}(\overline{u^{\prime}_{i}u^{\prime}_{j}...
...+ Cq^{2}\left(\DP{u_{i}}{x_{j}}
+ \DP{u_{j}}{x_{i}}\right),
\end{displaymath}

    とおく. ここで $l_{1}$ は乱流の特徴的なスケール, $C$ は無次元の定数である.

  2. $\overline{p\DP{\theta^{\prime} }{x_{k}}}$ (圧力による熱エネルギー再分配)

    1. の導出と同様の考察によって,

    \begin{displaymath}
= -\frac{q}{3l_{2}}\overline{u^{\prime}_{i}\theta^{\prime} }
\end{displaymath}

    とおく. ここでの乱れのスケールは $l_{2}$ とする.

  3. $2\nu \overline{\DP{u^{\prime}_{i}}{x_{k}}\DP{u^{\prime}_{j}}{x_{k}}}$ (粘性による散逸)

    粘性に関与するような小スケールの現象は等方的とみて $q$ のみ で表現する.

    \begin{displaymath}
= \frac{2}{3}\frac{q^{3}}{\Lambda _{1}}\delta _{ij}.
\end{displaymath}

    ここで $\Lambda _{1}$ は粘性の及ぶ特徴的スケールである.

  4. $(\alpha + \nu )
\overline{\DP{u^{\prime}_{j}}{x_{k}}\DP{\theta^{\prime} }{x_{k}}}$


    \begin{displaymath}
= 0
\end{displaymath}

    とおく.

  5. $\overline{u^{\prime}_{k}u^{\prime}_{i}u^{\prime}_{j}},
\overline{u^{\prime}_{...
...{\prime}_{j}\theta^{\prime} },
\overline{u^{\prime}_{k}(\theta^{\prime})^{2}}$

    速度変動による $\overline{u^{\prime}_{k}u^{\prime}_{i}u^{\prime}_{j}},
\overline{u^{\prime}_{...
...{\prime}_{j}\theta^{\prime} },
\overline{u^{\prime}_{k}(\theta^{\prime})^{2}}$ と考え次のようにおく.

    \begin{eqnarray*}
\overline{u^{\prime}_{k}u^{\prime}_{i}u^{\prime}_{j}}
&=& -...
... -q\lambda _{3}
\DP{\overline{(\theta^{\prime})^{2}}}{x_{k}}.
\end{eqnarray*}

    ここで $\lambda _{i}(i=1,2,3)$ はそれぞれの特徴的スケールである.

  6. $\overline{pu^{\prime}_{i}}, \overline{p\theta^{\prime} }$ (圧力変動による拡散)


    \begin{displaymath}
\overline{pu^{\prime}_{i}} = \overline{p\theta^{\prime} } = 0
\end{displaymath}

    とする. この近似は Deardroff (1975), Schemm and Lipps (1976) でも行われている.

  7. $f_{k}(\varepsilon _{jkl}\overline{u_{l}^{\prime}u^{\prime}_{i}}
+ \varepsilon ...
...me}_{j}}), \;
f_{k}\varepsilon _{jkl}\overline{u_{l}^{\prime}\theta^{\prime} }$ (コリオリ項)


    \begin{displaymath}
f_{k}\varepsilon _{jkl}\overline{u_{l}^{\prime}u^{\prime}_{...
...varepsilon _{ikl}\overline{u_{l}^{\prime}u^{\prime}_{j}} = 0,
\end{displaymath}


    \begin{displaymath}
f_{k}\varepsilon _{jkl}\overline{u_{l}^{\prime}\theta^{\prime}} = 0
\end{displaymath}

    とする. この近似は Deardroff (1975), Schemm and Lipps (1976) でも行われている.

  8. $\alpha \overline{u^{\prime}_{j}\DP{\theta^{\prime} }{x_{k}}}, \;
\nu \overline{\theta^{\prime} \DP{u^{\prime}_{j}}{x_{k}}}$


    \begin{displaymath}
= 0
\end{displaymath} (B.12)

    とする.

以上の近似を(B.9), (B.10), (B.11) に対して行うと, 以下の式を得る.
$\displaystyle \DD{\overline{u^{\prime}_{i}u^{\prime}_{j}}}{t}$ $\textstyle -$ $\displaystyle \DP{}{x_{k}}\left[
q\lambda _{1}\left(
\DP{\overline{u^{\prime}_{...
...}}{x_{i}}\right)
-\nu\DP{}{x_{k}}\overline{u^{\prime}_{i}u^{\prime}_{j}}\right]$  
  $\textstyle =$ $\displaystyle - \overline{u^{\prime}_{k}u^{\prime}_{i}}\DP{u_{j}}{x_{k}}
- \ove...
...{\prime}_{i}\theta^{\prime} }
+ g_{i}\overline{u^{\prime}_{j}\theta^{\prime} })$  
    $\displaystyle - \frac{q}{3l_{1}}(\overline{u^{\prime}_{i}u^{\prime}_{j}}
- \fra...
...+ \DP{u_{j}}{x_{i}}\right)
- \frac{2}{3}\frac{q^{3}}{\Lambda _{1}}\delta _{ij},$ (B.13)
$\displaystyle \DD{\overline{u^{\prime}_{j}\theta^{\prime} }}{t}$ $\textstyle -$ $\displaystyle \DP{}{x_{k}}\left[q\lambda _{2}\left(
\DP{\overline{u^{\prime}_{k...
...}}{x_{j}}
+ \DP{\overline{u^{\prime}_{j}\theta^{\prime} }}{x_{k}}\right)\right]$  
  $\textstyle =$ $\displaystyle - \overline{u^{\prime}_{j}u^{\prime}_{k}}\DP{\theta }{x_{k}}
- \o...
...eta^{\prime})^{2}}
- \frac{q}{3l_{2}}\overline{u^{\prime}_{j}\theta^{\prime} },$ (B.14)
$\displaystyle \DD{q^{2}}{t}$ $\textstyle +$ $\displaystyle \DP{}{x_{k}}\left[
q\lambda _{1}\left(
2\DP{q^{2}}{x_{k}} +
\DP{\...
...ine{u^{\prime}_{j}u^{\prime}_{k}}}{x_{j}}\right)
- \nu \DP{q^{2}}{x_{k}}\right]$  
  $\textstyle =$ $\displaystyle - 2\overline{u^{\prime}_{j}u^{\prime}_{k}}\DP{u_{j}}{x_{k}}
+ 2g_{j}\beta\overline{u^{\prime}_{j}\theta^{\prime}}
- 2\frac{q^{3}}{\Lambda _{1}}$ (B.15)

ここで

\begin{displaymath}
\DD{}{t} \equiv \DP{}{t} + u_{k}\DP{}{x_{k}}
\end{displaymath}

である. これらは Mellor and Yamada (1974) の Level 4 モデルの式に対応 する式である.

式(B.13), (B.14), (B.15)に対し, さらに以下の近似を加える.

これらの近似を行うと, 式(B.13), (B.14), (B.15)は
$\displaystyle \overline{u^{\prime}_{i}u^{\prime}_{j}}$ $\textstyle =$ $\displaystyle \frac{\delta _{ij}}{3}q^{2}
- ql_{1}\left(\DP{u_{i}}{x_{j}} + \DP{u_{j}}{x_{i}}\right)$ (B.16)
$\displaystyle \overline{u^{\prime}_{j}\theta^{\prime}}$ $\textstyle =$ $\displaystyle - ql_{2}\DP{\theta }{x_{j}}$ (B.17)
$\displaystyle \DD{q^{2}}{t}$ $\textstyle =$ $\displaystyle - 2\overline{u^{\prime}_{j}u^{\prime}_{k}}\DP{u_{j}}{x_{k}}
+ 2g_...
...
+ \DP{}{x_{k}}\left[\nu \DP{q^{2}}{x_{k}}\right]
- 2\frac{q^{3}}{\Lambda _{1}}$ (B.18)

となる. (B.16)は Mellor and Yamada (1974) の Level 1 モデルの $\overline{u^{\prime}_{i}u^{\prime}_{j}}$ の式である. (B.17)は Mellor and Yamada (1974) の Level 1 モデル の $\overline{u^{\prime}_{j}\theta^{\prime}}$ の式で $\overline{(\theta^{\prime})^{2}}$ の項を無視したものに対応する. (B.18) は Mellor and Yamada (1974) の Level 3 モデ ルの $q^{2}$ の式において, 3 次相関項を無視し粘性拡散項を残したものに 対応する.

$ql_{1}=K_{m}, ql_{2}=K_{h}$ とし, $q$$E$ で表し動粘性係数を乱流拡散係数で置き換えると

$\displaystyle \overline{u^{\prime}_{i}u^{\prime}_{j}}$ $\textstyle =$ $\displaystyle \frac{2}{3}\delta _{ij}E
- K_{m}\left(\DP{u_{i}}{x_{j}} + \DP{u_{j}}{x_{i}}\right)$ (B.19)
$\displaystyle \overline{u^{\prime}_{j}\theta^{\prime}}$ $\textstyle =$ $\displaystyle - K_{h}\DP{\theta }{x_{k}}$ (B.20)
$\displaystyle \DD{E}{t}$ $\textstyle =$ $\displaystyle - \overline{u^{\prime}_{j}u^{\prime}_{k}}\DP{u_{j}}{x_{k}}
+ g_{j...
..._{k}}\left[K_{m} \DP{q^{2}}{x_{k}}\right]
- \frac{2^{3/2}}{\Lambda _{1}}E^{3/2}$ (B.21)

となる. 理想気体の場合 $\beta = 1/\theta$ であることに注意すると, 式 (B.21)は散逸項の係数を除き(B.1)に一致 する.

以上より, Klemp and Wilhelmson (1978) の乱流パラメタリゼーションは, Mellor and Yamada (1974) の Level 3 モデルと Level 1 モデルとを組みあ わせたものと理解することができる. Klemp and Wilhelmson (1978) と同様に 乱流運動エネルギーのみ予報し他の相関量は診断的に求めるモデルとして Mellor and Yamada (1974) の Level 2.5 モデルがある. しかし Level 2.5 モデルは Level 3 モデルと Level 2 モデルとの組合せであることに注意が必 要である.

B.1.2 2 次元の場合の表現

2 次元の場合の(B.1)式の各項を書き下す. 浮力による乱流エネル ギー生成項は,

$\displaystyle B$ $\textstyle =$ $\displaystyle \frac{g_{j}}{\overline{\theta}}
\overline{u^{\prime}_{j} \theta^{\prime}}$  
  $\textstyle =$ $\displaystyle - \frac{g}{\overline{\theta}}
\overline{w^{\prime} \theta^{\prime}}$  
  $\textstyle =$ $\displaystyle - \frac{g}{\overline{\theta}}
\left( K_{h} \DP{\theta}{z} \right)$ (B.22)

である. 次に流れの変形速度による乱流エネルギー生成項 $S$ は,
$\displaystyle S$ $\textstyle =$ $\displaystyle - \overline{(u_{i}^{\prime} u_{j}^{\prime})}
\DP{u_{i}}{x_{j}}$  
  $\textstyle =$ $\displaystyle - \left\{
- K_{m} \left(\DP{u_{i}}{x_{j}} + \DP{u_{j}}{x_{i}}\right)
+ \frac{2}{3} \delta_{ij} E
\right\}
\DP{u_{i}}{x_{j}}$  
  $\textstyle =$ $\displaystyle \left\{
K_{m} \left(\DP{u_{i}}{x_{j}} + \DP{u_{j}}{x_{i}}\right)
- \frac{2}{3} \delta_{ij} E
\right\}
\DP{u_{i}}{x_{j}}$  
  $\textstyle =$ $\displaystyle \left\{
K_{m} \left(\DP{u}{x_{j}} + \DP{u_{j}}{x}\right)
- \frac{2}{3} \delta_{1j} E
\right\}
\DP{u}{x_{j}}$  
    $\displaystyle +
\left\{
K_{m} \left(\DP{w}{x_{j}} + \DP{u_{j}}{z}\right)
- \frac{2}{3} \delta_{3j} E
\right\}
\DP{w}{x_{j}}$  
  $\textstyle =$ $\displaystyle \left\{
2 K_{m} \left(\DP{u}{x} \right)
- \frac{2}{3} E
\right\}
\DP{u}{x}
+
K_{m} \left( \DP{w}{x} + \DP{u}{z} \right)
\DP{u}{z}$  
    $\displaystyle +
K_{m} \left(\DP{w}{x} + \DP{u}{z}\right)
\DP{w}{x}
+
\left\{
2 K_{m} \left(\DP{w}{z} \right)
- \frac{2}{3} E
\right\}
\DP{w}{z}$  
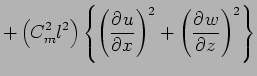
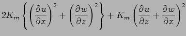
  $\textstyle =$ $\displaystyle 2 K_{m} \left\{
\left( \DP{u}{x} \right)^{2}
+ \left( \DP{w}{z} \right)^{2}
\right\}
+ K_{m}
\left(\DP{u}{z} + \DP{w}{x}\right)^{2}$  
    $\displaystyle - \frac{2}{3} E \left( \DP{u}{x} + \DP{w}{z} \right)$ (B.23)

である. 乱流エネルギー拡散項 $D_{E}$ は,
$\displaystyle D_{E}$ $\textstyle =$ $\displaystyle \DP{}{x_{j}} \left(K_{m} \DP{E}{x_{j}} \right),$  
  $\textstyle =$ $\displaystyle \DP{}{x} \left(K_{m} \DP{E}{x} \right)
+ \DP{}{x} \left(K_{m} \DP{E}{x} \right)$ (B.24)

である. 以上の (B.22), (B.23), (B.24) 式を (B.1) 式 に代入することで以下の式を得る.
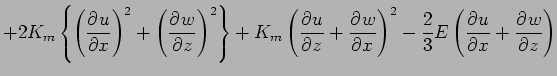
$\displaystyle \DD{E}{t}$ $\textstyle =$ $\displaystyle - \frac{g}{\overline{\theta}}
\left( K_{h} \DP{\theta}{z} \right)$  
    $\displaystyle + 2 K_{m} \left\{
\left( \DP{u}{x} \right)^{2}
+ \left( \DP{w}{z}...
...{z} + \DP{w}{x}\right)^{2}
- \frac{2}{3} E \left( \DP{u}{x} + \DP{w}{z} \right)$  
    $\displaystyle + \DP{}{x} \left(K_{m} \DP{E}{x} \right)
+ \DP{}{x} \left(K_{m} \DP{E}{x} \right)
- \left(\frac{C_{\varepsilon}}{l}\right)
E^{\frac{3}{2}}.$ (B.25)

B.1.3 乱流拡散係数を用いた表現

(B.25) 式を (B.7) 式を用いて $K_{m}$ に関する式に変形 する. 右辺の乱流エネルギー拡散項を書き下すと,

$\displaystyle \DP{}{x} \left(K_{m} \DP{E}{x}\right)$ $\textstyle +$ $\displaystyle \DP{}{z} \left(K_{m} \DP{E}{z}\right)$  
  $\textstyle =$ $\displaystyle \frac{1}{C_{m}^{2} l^{2}}
\Biggl\{\DP{}{x}
\left(K_{m} \DP{K_{m}^{2}}{x}\right)
+ \DP{}{z}
\left(K_{m} \DP{K_{m}^{2}}{z}\right)
\Biggr\}$  
  $\textstyle =$ $\displaystyle \frac{1}{C_{m}^{2} l^{2}}
\Biggl\{K_{m} \DP[2]{K_{m}^{2}}{x}
+ \D...
...{2}}{x}
+ K_{m} \DP[2]{K_{m}^{2}}{z}
+ \DP{K_{m}}{z}
\DP{K_{m}^{2}}{z}
\Biggr\}$  
  $\textstyle =$ $\displaystyle \frac{K_{m}}{C_{m}^{2} l^{2}}
\left(\DP[2]{K_{m}^{2}}{x}
+ \DP[2]...
...Biggl\{\left(\DP{K_{m}}{x}\right)^{2}
+ \left(\DP{K_{m}}{z}\right)^{2}
\Biggr\}$  

となるので, (B.25) 式を変形すると,
$\displaystyle \frac{2 K_{m}}{C_{m}^{2} l^{2}} \DD{K_{m}}{t}$ $\textstyle =$ $\displaystyle - \frac{g}{\overline{\theta}}
\left( K_{h} \DP{\theta}{z} \right)...
...m} \left\{
\left( \DP{u}{x} \right)^{2}
+ \left( \DP{w}{z} \right)^{2}
\right\}$  
    $\displaystyle + K_{m}
\left(\DP{u}{z} + \DP{w}{z}\right)^{2}
- \frac{2}{3} \frac{K_{m}^{2}}{C_{m}^{2} l^{2}} \left( \DP{u}{x} + \DP{w}{z} \right)$  
    $\displaystyle + \frac{K_{m}}{C_{m}^{2} l^{2}}
\left(\DP[2]{K_{m}^{2}}{x}
+ \DP[...
...Biggl\{\left(\DP{K_{m}}{x}\right)^{2}
+ \left(\DP{K_{m}}{z}\right)^{2}
\Biggr\}$  
    $\displaystyle - \frac{C_{\varepsilon}}{C_{m}^{3} {l}^{4}}
K_{m}^{3}.$ (B.26)

係数を整理すると,
$\displaystyle \DP{K_{m}}{t}$ $\textstyle =$ $\displaystyle - \left(
u \DP{K_{m}}{x} + w \DP{K_{m}}{z}
\right)
- \frac{g C_{m...
...} l^{2}}{ 2 \overline{\theta}} \frac{K_{h}}{K_{m}}
\left(\DP{\theta}{z} \right)$  
    $\displaystyle + \left( C_{m}^{2} l^{2} \right) \left\{
\left( \DP{u}{x} \right)^{2}
+ \left( \DP{w}{z} \right)^{2}
\right\}$  
    $\displaystyle + \frac{ C_{m}^{2} l^{2} }{2}
\left( \DP{u}{z} + \DP{w}{z}\right)^{2}
- \frac{K_{m}}{3}
\left( \DP{u}{x} + \DP{w}{z} \right)$  
    $\displaystyle + \Dinv{2}
\left(\DP[2]{K_{m}^{2}}{x}
+ \DP[2]{K_{m}^{2}}{z}
\right)
+ \left(\DP{K_{m}}{x}\right)^{2}
+ \left(\DP{K_{m}}{z}\right)^{2}$  
    $\displaystyle - \frac{C_{\varepsilon}}{2 C_{m} l^{2}} K_{m}^{2}$  

となり, ここで $C_{m} = C_{\varepsilon} = 0.2$ $K_{h} = 3 K_{m}$ という 関係を用いると,
$\displaystyle \DP{K_{m}}{t}$ $\textstyle =$ $\displaystyle - \left(
u \DP{K_{m}}{x} + w \DP{K_{m}}{z}
\right)
- \frac{3 g C_{m}^{2} l^{2}}{ 2 \overline{\theta}}
\left(\DP{\theta}{z} \right)$  
    $\displaystyle + \left( C_{m}^{2} l^{2} \right) \left\{
\left( \DP{u}{x} \right)^{2}
+ \left( \DP{w}{z} \right)^{2}
\right\}$  
    $\displaystyle + \frac{ C_{m}^{2} l^{2} }{2}
\left( \DP{u}{z} + \DP{w}{x}\right)^{2}
- \frac{K_{m}}{3}
\left( \DP{u}{x} + \DP{w}{z} \right)$  
    $\displaystyle + \Dinv{2}
\left(\DP[2]{K_{m}^{2}}{x}
+ \DP[2]{K_{m}^{2}}{z}
\right)
+ \left(\DP{K_{m}}{x}\right)^{2}
+ \left(\DP{K_{m}}{z}\right)^{2}$  
    $\displaystyle - \Dinv{2 l^{2}} K_{m}^{2}$ (B.27)

となる.


next up previous
: C. 雲微物理過程 : 湿潤大気における 2 次元非静力学モデルの定式化 : A. 準圧縮方程式系の導出
Odaka Masatsugu 平成19年10月12日