next up previous contents
: オイラー平均方程式系 : プリミティブ方程式系と変形オイラー平均の復習 : プリミティブ方程式系と変形オイラー平均の復習   目次

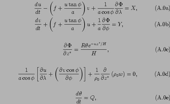
球面上の対数圧力座標系におけるプリミティブ方程式

球面上の対数圧力座標系におけるプリミティブ方程式は以下の通りである. ここでは Andrews et al. (1987) の (3.1.3) 式を参考にした.
\begin{subequations}\begin{align}
 \DD{u}{t} &- \left(f + \frac{u\tan\phi}{a}\ri...
...nd{align}
 
 \begin{align}
 \DD{\theta}{t} &= Q, 
 \end{align}\end{subequations}

ここで $ \Phi$ はジオポテンシャルハイト, $ X, Y$ はそれぞれ外力の $ \lambda$成分 と $ \phi$成分, $ \kappa=R_{d}/c_p$ ($ c_p$ は等圧比熱)である. $ Q$は非断熱加熱項で,
$\displaystyle Q$ $\displaystyle =$ $\displaystyle \frac{J}{C_p}e^{\kappa z^*/H}$  

である. $ J$ は単位質量あたりの非断熱加熱率である. ここで明記した以外の変数の定義については 第[*]節, 第[*]節 を を参照のこと.

Tsukahara Daisuke 平成17年2月19日